Identificador #7793·
Link permamente: /7793
 |
Tesina de grado |
|
 |
| |
Relación entre el régimen hidrológico superficial y los niveles de agua subterránea en el Valle de Uco, Mendoza.
Por:
Universidad Nacional de Cuyo. Facultad de Ciencias Agrarias
Realizada en:
Páginas:
Idioma:
 |
|
Colaboradores:
Nombre de la carrera:
Institución:
Título al que opta:
La cuenca del Valle de Uco, es un área con presentes conflictos de expansión y usos de su recurso hídrico, con una complejidad de actores sociales producto de las relaciones sociales profundamente desiguales y la concentración económica.
Este trabajo, está proyectado como una herramienta útil para el abordaje a futuro de un balance hídrico de la cuenca del Valle de Uco, proporcionando análisis espaciales y temporales de las variabilidades de los caudales y niveles estáticos involucrados, bajo la hipótesis planteada de que la hidrología superficial se vincula temporalmente, con la hidrología subterránea de la cuenca del Valle de Uco.
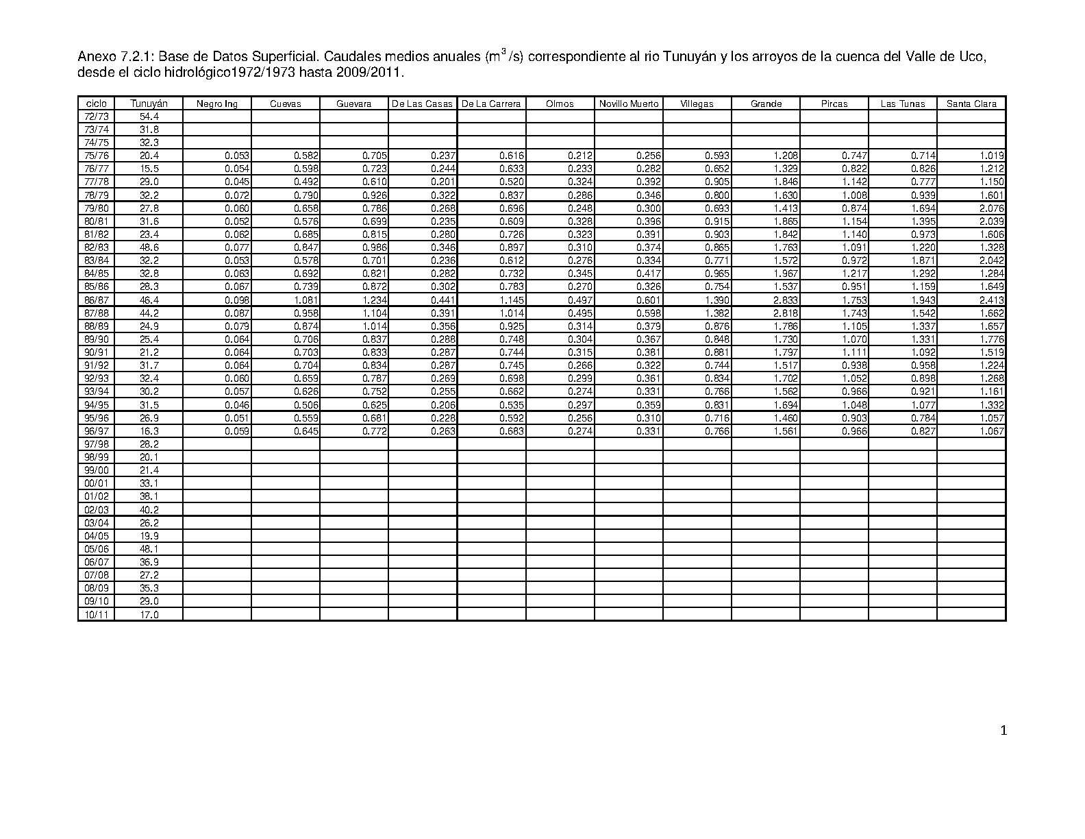
Para llevarlo a cabo se recopiló información de caudales medios mensuales históricos del río Tunuyán en la estación Valle de Uco y de los arroyos afluentes, como también de los niveles estáticos de agua subterránea de la red de pozos de monitoreo del Instituto Nacional del Agua. De esta manera se trabajó con los caudales medios anuales de 26 arroyos, desde el ciclo 1975/1976 hasta 1996/1997, y de los caudales medios del río Tunuyán desde 1972 hasta 2011, y con 225 pozos georreferenciados (POSGAR 94) y sus respectivas cotas de agua, desde 1972 hasta 2011.
La descripción de la relación entre las cuencas, superficial y subterránea, se realizó a través de análisis estadístico descriptivo, análisis geoestadístico, gráficos de evolución temporal, análisis de krigeado ordinario, mediante el sistema de información geográfica QGIS 2.10.1 y análisis de correlación lineal y análisis de regresión lineal simple.
Se concluyó que los caudales de los cauces superficiales de la cuenca del Valle de Uco se relacionan temporalmente con los niveles estáticos del agua subterránea de la cuenca. También se determinó que la variabilidad total de los niveles estáticos de la cuenca, responden de forma directa al la variabilidad del caudal del río Tunuyán y del arroyo Manzano.
Esta conexión entre el régimen hidrológico superficial y el subterráneo, es relevante al momento de tomar decisiones administrativas y/o de gestión, que involucren a cualquiera de las partes, o al sistema en sí. Este tipo de decisiones pueden ser: asignar mejor el recurso, detectar puntos donde son necesarias inversiones y mejoras en el sistema, proteger la calidad y cantidad del recurso hídrico y los ecosistemas relacionados, entre otros.
Disciplinas:
Ciencias naturales
Descriptores:
AGUA SUPERFICIAL - BALANCE HÍDRICO - AGUA SUBTERRÁNEA - VALLE DE UCO (MENDOZA, ARGENTINA) - RECURSOS HÍDRICOS
Material complementario
:
Descargar archivo

Este obra está bajo una Licencia Creative Commons Atribución-NoComercial-CompartirIgual 3.0 Unported.
Conozca más sobre esta licencia >
|
|
 |
|
 |
|
|
|
Fichas descriptivas de las especies del jardín botánico en la Fac. de Ciencias Agrarias.
Selección de trabajos alrededor de la temática de los Derechos Humanos en la Argentina y en Mendoza en particular.
Una selección de artículos, tesis, informes de investigación y videos sobre temáticas de la vid, la vinificación, la economía y la cultura del vino mendocino
Espacio virtual que pone a disposición tesis doctorales y trabajos finales de maestría de posgrados dictados en la Facultad de Filosofía y Letras de la UNCuyo.
En este sitio se pueden consultar las tesis de grado de la Facultad de Cs. Económicas de la UCuyo. La búsqueda se puede hacer por autor, titulo y descriptores a texto completo en formato pdf.

|
| //DOSSIERS ESPECIALES |
|
Cada Dossier contiene una selección de objetos digitales en diversos formatos, bajo un concepto temático transversal. La propuesta invita al usuario a vincular contenidos y conocer los trabajos que la UNCuyo produce sobre temáticas específicas.
|
| |
| Para la correcta utilización de todos los materiales de esta biblioteca es necesario que disponga de: |
|
 |
|